译自《Understanding LSTM Networks》,作者 colah
循环神经网络
人类并不是每时每刻都从头开始思考。在你阅读这篇文章的时候,你都是基于自己已经拥有的先前知识来推断当前词的真实含义。我们不会抛弃所有东西,然后重新开始思考。即我们的思想拥有持久性。
传统的神经的网络不能做到这一点,这看起来是一个巨大的弊端。例如,假设你希望对电影中每个时间点正在发生的事件进行分类 。传统的神经网络很难使用电影中先前的事件推断后续发生的事件。
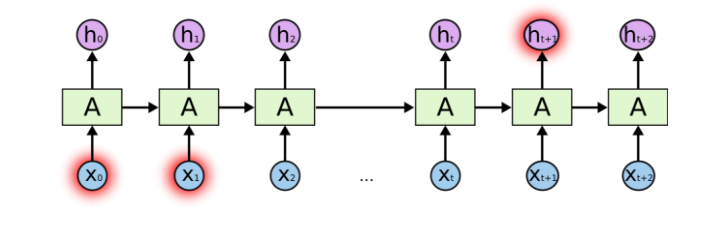
RNN解决了这个问题。RNN是包含循环的网络,允许信息的持久化。

在上面的示例图中,神经网络的模块A正在读取某个输入$x_i$,并输出一个值$h_i$。循环可以使得信息可以从当前步传递到下一步。
这些循环使得RNN看起来非常神秘。然而,如果你仔细想想,这样也不比一个正常的神经网络难于理解。RNN可以看做是同一个神经网络的多次复制,每个神经网络模块会把消息传递给下一个。所以,如果我们将这个循环展开:

链式的特征揭示了RNN本质上是与序列和列表有关的。它们是用于此类数据的自然神经网络框架。
并且RNN也已经被人们应用了!在过去几年中,在语音识别,语言模型,翻译,图片描述等问题上应用RNN,已经取得了令人难以置信的成功,并在应用领域还在增长。我建议大家参考Andrej Karpathy 的博客文章—— The Unreasonable Effectiveness of Recurrent Neural Networks.来看看更丰富的RNN的成功应用。
而这些成功应用的关键就是使用了LSTM,这是一种特殊的RNN,在很多任务上都比标准的RNN表现更好。几乎所有的令人振奋的结果都是使用了LSTM 。这篇博文也会就LSTM进行展开。
长期依赖问题
RNN的关键点之一就是它们可以用来连接先前的信息到当前的任务上,例如使用过去的视频来推测对当前段的理解。如果RNN 可以做到这个,它们就变得非常有用,但是真的可以么?答案是,还有很多依赖因素。
有时候,我们仅仅需要知道先前的信息来执行当前的任务。例如,我们有一个语言模型基于当前词来预测下一个词。如果我们试着预测”the clouds are in the sky”最后的词,我们并不需要任何其他的上下文 ——-因为下一个词很明显就应该是’sky’。在这样的场景中,相关的信息和预测的词位置之间的间隔是非常小的,RNN可以学会使用先前的信息。

但是同样会有一些更复杂的场景。假设我们试着去预测’I grew up in France…I speak fluent French’最后的词。当前的信息建议下一个词可能是一种语言的名字,但是如果我们需要弄清楚是什么语言,我们是需要提前到离当前位置很远的’France’的上下文。这说明相关信息和当前预测位置之间的间隔肯定变得相当的大。
不幸的是,随着这个距离增长,RNN会丧失学习到连接如此远的信息的能力。

理论上,RNN绝对可以处理这样的长依赖问题。人们可以仔细挑选参数来解决这类初级形式的问题,但在实践中,RNN肯定不能够成功学习到这些知识。Hochreiter (1991) [German] and Bengio, et al. (1994)等人对该问题进行了深入的研究,他们发现了一些使训练RNN变得非常困难的根本原因.
幸运的是,LSTM并没有这个问题。
LSTM网络
长短时记忆神经网络——一般就叫做LSTM—–是一种特殊的RNN类型。可以学习长期依赖信息。LSTM由 Hochreiter & Schmidhuber (1997)提出,并在近期被许多人改进和使用。在很多问题上,LSTM都取得了相当巨大的成功,并得到了广泛的使用。
LSTM就是明确设计来避免长期依赖的问题。记住长期的信息在实践中是LSTM的默认行为,而非需要付出很大的代价才能获得的能力!
所有RNN都具有一种重复神经网络模块的链式的形式。在标准的RNN中,这个重复的模块只有一个非常的简单的结构,例如一个tanh层。

标准RNN的重复模块包含单一的层
LSTM同样是这样的结构,但是重复的模块拥有一个不同的结构。不同于单一神经网络层,这里是有四个,以一种非常特殊的方式进行交互。

LSTM中的重复模块包含四个交互的层
不要担心这里的细节。我们会一步一步地剖析LSTM解析图。我们先来熟悉一下图中使用的各种元素的图标。

在上面的图标中,每一条黑线传输着一整个向量,从一个节点的输出到其他节点的输入。粉色的圈代表pointwise的操作,诸如向量的和,而黄色的矩阵就是学习到的神经网络层。合在一起的线表示向量的连接,分开的线表示内容被复制,然后分发到不同的位置。
LSTM的核心思想
LSTM的关键就是单元状态,在图上方贯穿运行的水平线。
单元状态类似于传送带。直接在整个链上运行,只有一些少量的线性交互。信息在上面流畅保持不变很容易。

LSTM有通过精心设计的称作为‘门’的结构来删除或者增加信息到单元状态的能力。门是一种让信息选择式通过的方法。它们包含一个sigmoid神经网络层和pointwise乘法操作。

Sigmoid层输出0到1之间的数值,描述每个部分有多少量可以通过。0代表‘不允许任何量通过’,1指‘允许任意量通过’!
LSTM拥有三个门,来保护和控制单元状态。
逐步理解LSTM
在LSTM中的第一步是决定我们会从单元状态中丢去什么信息。这个决定通过一个称为‘忘记门’层完成。该门会读取$h_{t-1}$和$x_t$,在每个单元状态$c_{t-1}$输出一个在0和1之间的数值。1表示‘完全保留’,0表示‘完全舍弃’。
让我们回到语言模型的例子中来基于已经看到的预测下一个词。在这个问题中,单元状态可能包含当前主语的性别,因此正确的代词可以被选择出来。当我们看到新的主语,我们希望忘记旧的主语。

下一步是确定什么样的新信息被存放在单元状态中。这里包含两个部分。第一,sigmoid层称‘输入门层’决定什么值我们将要更新。然后,一个tanh层创建一个新的候选值向量,$\tilde{C}_t$会被加入到状态中。下一步,我们会讲这两个信息来产生对状态的更新。
在我们语言模型的例子中,我们希望增加新主语的性别到单元状态中,来代替要忘记的旧主语。

确定更新的信息
现在是更新旧单元状态的时间了,$C_{t-1}$更新为$C_{t}$。前面的步骤已经决定了将会做什么,我们现在就是实际去完成。
我们把旧状态与$f_t$相乘,丢弃掉我们确定需要丢弃的信息。接着加上$i_t* \tilde C_{t}$。这就是新的候选值,根据我们决定更新每个状态的程度进行变化。在语言模型的例子中,这就是我们实际根据前面确定的目标,丢弃旧代词的性别信息并添加新信息的地方。

最终,我们需要确定输出什么值。这个输出将会基于我们的单元状态,但是也是一个过滤后的版本。首先,我们运行一个sigmoid层来确定单元状态的哪个部分将输出出去。接着,我们把单元的状态通过tanh进行处理(得到一个在-1到1之间的值)并将它和sigmoid门的输出相乘,最终我们仅仅会输出我们确定输出的那部分。
在语言模型的例子中,因为它就看到了一个代词,可能需要输出与一个动词相关的信息。例如,可能输出是否代词是单数还是负数,这样如果是动词的话,我们也知道动词需要进行的词形变化。

LSTM的变体
到目前为止我们还在介绍正常的LSTM。但是不是所有的LSTM都长成一个样子的。实际上,几乎所有包含LSTM的论文都采用了微小的变体。差异非常小,但是也值得提出来。
其中一个流行的LSTM的变体,就是Gers & Schmidhuber (2000)提出的,增加了’people connection’。就是说,我们让门层也会接受单元状态的输入。

上面的图例中,我们增加了peephole(窥视)到每个门上,但是许多论文会加入一些窥视,而非所有都加。
另一种变化时使用耦合的忘记和输入门。它不是分开决定要忘记和添加的信息,而是一起做出这些决定。我们会在某个位置输入一些东西的时候才会忘记它,输入新值的时候会忘记旧信息的状态。

另一个改动较大的变种是Gated Recurrent Unit (GRU),是由Cho, et al. (2014)提出的。它将忘记门和输入门合成了一个单一的’更新门’.同样还混合了单元状态和隐藏状态以及其他一些改动。最终的模型比标准的LSTM模型要简单,也是非常流行的变体。

这里只是部分流行的LSTM变体。当然还有很多其他的,如 Yao, et al. (2015)提出的Depth Gated RNN 。还有用一些完全不同的观点来解决长期依赖的问题,如 Koutnik, et al. (2014)提出的Clockword RNN 。
哪个变种最好?变种的不同之处是否有用?Greff, et al. (2015)给出了流行变种的比较,结论是它们基本上是一样的。Jozefowicz, et al. (2015)则在1万种RNN架构上进行了测试,发现在某些任务上,一些架构比LSTM取得了更好的结果。
结论
刚开始,我提到人们通过使用RNN获得了显著的结果。基本上所有这些都是使用LSTM实现的,而且它们的确在大多数任务上做的更好!
LSTM写成一组公式,看起来很吓人。希望 在这篇文章中一步一步去理解它,可以减少你的困惑。
LSTM是我们在RNN中获得的重要成功。自然地,我们也会考虑:哪里会有更加重大的突破呢?研究人员间普遍的观点是:“是的!下一步已经有了—-那就是注意力”这个想法是让RNN的每个步骤从一些较大的信息集合中选择信息。例如,如果您使用RNN创建描述图像的标题,则可能会选择图像的一部分,根据这部分的信息来产生输出的词。实际上,Xu, et al.(2015)已经这么做了—-如果你希望深入探索注意力,可能这就是一个有趣的开始!还有一些使用注意力的研究成果相当振奋人心,看起来有更多的大小亟待探索…..
注意力也不是RNN研究领域中唯一的发展方向。例如,Kalchbrenner, et al. (2015) 提出的Grid LSTM看起来也很有前途。使用生成模型的RNN,诸如Gregor, et al. (2015), Chung, et al. (2015), 和 Bayer & Osendorfer (2015)提出的模型同样有趣。在过去几年中,RNN的研究已经相当的激动人心了,未来这些神经网络会带来更多的惊喜!
致谢
我很感谢一些人帮助我更好地了解了LSTM,并提供关于这篇文章的反馈和评论。我非常感谢Google同事们的有用反馈,特别是Oriol Vinyals,Greg Corrado,Jon Shlens,Luke Vilnis和Ilya Sutskever。我也感谢许多其他朋友和同事花时间帮助我,包括达里奥·阿莫德迪和雅各布·斯坦哈特。 我非常感谢Kyunghyun Cho对我的图表进行了深思熟虑。
文章译自 Understanding LSTM Networks 作者colah